Корзина пуста
Групповая задержка и ее влияние на тестирование потоков последовательных данных
| Автор Питер Дж. Пупалайкис (Peter J. Pupalaikis) При измерении «глазковых» диаграмм с помощью осциллографов на результат влияют множество факторов, таких как тактовая частота и время нарастания сигналов потока последовательных данных, полоса пропускания и неравномерность АЧХ осциллографа, ФЧХ осциллографа и т. д. Данная статья подробно рассматривает влияние именно ФЧХ или ГВЗ, которое более сложно для понимания и учета, чем влияние АЧХ, но не менее важно. |
Введение
В первой части статьи описаны возможные варианты ФЧХ осциллографов: линейные фазовые и минимальные фазовые системы, а также различия между ними. Рассмотрены принципы работы широкополосных фильтров и методы построения линейных и минимальных фазовых систем с помощью наборов таких фильтров. Показано преимущество минимальных фазовых систем при нулевой точке запуска осциллографа и возможность создания данных систем для любого вида импульсной характеристики. Приведены примеры «глазковых диаграмм» потоков последовательных данных для обоих типов фазовых систем и объяснено, почему линейные фазовые системы более предпочтительны в этом случае.
Во второй части статьи рассмотрено влияние характеристики ГВЗ канала осциллографа на измерение потока последовательных данных. На основании простой математической модели проведено имитационное вычисление для объяснения эффекта ГВЗ при использовании «глазковой диаграммы».
Характеристики ГВЗ осциллографа
В последние пять лет компания LeCroy применяет алгоритмы компенсации АЧХ и ФЧХ аналоговых трактов осциллографов с помощью цифровой обработки сигналов (DSP). В результате таких действий достигается отличное качество отображения входных сигналов.
На рис. 1 изображена переходная характеристика осциллографа SDA 11000.
![]() |
Рисунок 1. Переходная характеристика LeCroy SDA 11000 |
Позднее другие компании по производству цифровых осциллографов также начали использовать DSP в своих разработках. В настоящее время не существует цифровых осциллографов high-end класса, в которых не применяется DSP-коррекция амплитуды и фазы. На рис. 2 изображена переходная характеристика осциллографа, применяющего DSP, производства другой компании с полосой пропускания и неравномерностью АЧХ примерно аналогичной SDA 11000. Однако, как нетрудно заметить, переходные характеристики приборов существенно отличаются по внешнему виду [1]. Основная причина этого — различные ФЧХ. Анализ параметров ФЧХ осциллографов, приводящих к таким различиям в форме переходных характеристик, приводится далее.
![]() |
Рисунок 2. Переходная характеристика |
АЧХ с прямоугольным срезом
Все ЦЗО high-end класса имеют АЧХ с быстрым спаданием после частоты, соответствующей границе полосы пропускания [2]. Скорость спадания за полосой пропускания обычно настолько большая, что позволяет рассматривать АЧХ осциллографа как идеальный фильтр нижних частот. Хотя такая форма АЧХ и оказывает некоторое нежелательное влияние на вид переходной характеристики прибора, но, в то же время, позволяет производителям осциллографов добиваться требуемой сегодня в промышленности полосы пропускания.
Существует два способа моделирования идеальных ФНЧ. Один путь основан на разработке КИХ фильтра с использованием обратного преобразования Фурье импульса sin x/x, что обеспечивает классическую импульсную характеристику sin x/x [3]. Переходная характеристика такой модели идеального ФНЧ имеет значительные осцилляции на вершине и в паузе (эффект Гиббса). Резкий спад АЧХ нежелателен, так как приводит к выбросу и осцил-ляциям переходной характеристики прибора, но он неизбежен, когда осциллограф имеет ограниченную полосу пропускания. Кроме этого, к нежелательным эффектам можно отнести и то, что данная переходная характеристика, представляющая собой «мгновенную» ступеньку с предосцилляциями, нарушает реальную причинно-следственную связь. (Пред-выброс появляется до момента начального воздействия. — Прим. переводчика.)
Другой путь для моделирования идеального ФНЧ — это разработка фильтра Баттер-ворта высокого порядка для получения большего количества полюсов [4]. В пределе данный фильтр будет иметь мгновенный спад АЧХ, но при этом система не будет иметь предвыбросов.
Обе эти модели систем идеального ФНЧ являются реализуемыми; переходные характеристики для обоих типов моделей приведены на рис. 3. Далее будет показано, что первая модель является линейной фазовой системой, а вторая — минимальной фазовой системой.
![]() | ![]() |
а) Линейная фаза:
| б) Минимальная фаза:
|
| Рисунок 3. Переходные характеристики минимальной и линейной фазовой систем | |
Линейная фаза
Концепция систем с линейной фазой и особенно с минимальной фазой очень часто является сложной для понимания. Попробуем объяснить концепцию систем с линейной фазой, при этом разоблачив несколько мифов. Во-первых, концепция идеальной линейной фазы вытекает из понятия групповой задержки ГВЗ. ГВЗ — это «огибающая» задержки, которую не следует путать с фазовой задержкой. И групповая (1), и фазовая задержки (2) связаны с фазой системы следующими зависимостями [5]:
, (1)
. (2)
Фазовая задержка — это временная задержка синусоидального сигнала с постоянной частотой f при его прохождении через систему. ГВЗ — это временная задержка огибающей амплитуды синусоидальных сигналов в узком спектральном диапазоне вокруг частоты f . Видно, что когда фаза зависит от частоты линейно, то и фазовая задержка, и ГВЗ оцениваются постоянным значением задержки. Когда фаза зависит от частоты нелинейно, то ни фазовая задержка, ни ГВЗ также не являются постоянными при изменении частоты.
В обычных системах с ограниченной полосой пропускания ГВЗ возрастает ближе к границе полосы. Причина в том, что граница полосы пропускания определяется наличием одного или нескольких полюсов фильтра, которые увеличивают скорость спадания АЧХ до 20 дБ за декаду и добавляют фазовую задержку 90°. На центральных частотах комплексно сопряженных пар полюсов, там, где отклик АЧХ стремится к пиковому значению, ГВЗ также имеет пиковое значение. При рассмотрении реальной АЧХ осциллографа это означает, что ВЧ-компо-ненты сигнала при прохождении через систему получают дополнительную задержку. Это явление наблюдается в переходной характеристике в виде «заваленных» фронтов и больших выбросов, поскольку ВЧ-компо-ненты не попадают на выход системы одновременно с фронтом, а оказываются там уже после фронта.
Многие из пользователей привыкли считать, что линейная фаза является самым лучшим видом ФЧХ. В системах телекоммуникации и аудиовещания это действительно так, но для систем контроля такое решение непригодно.
Миф: идеальная ФЧХ системы описывается линейной фазой, так же как идеальная АЧХ системы описывается постоянным значением.
Автор считает это мифом, потому что невозможен отклик для системы с ограниченной полосой пропускания без введения задержки. Нельзя линеаризовать фазу системы с ограниченной полосой пропускания без введения дополнительной задержки.
Задержка для систем с линейной фазой иногда является недопустимой. Для иллюстрации данной ситуации рассмотрим импульс на рис. 3. Импульс справа был получен с использованием фильтра Баттерворта пятого порядка. Фильтр Баттерворта является широкополосным и поэтому имеет бесконечную импульсную характеристику. Это означает, что выход системы зависит не только входного сигнала, но и от внутренних элементов памяти системы, которые теоретически запоминают предыдущее состояние (рекурсивные фильтры — прим. переводчика). Импульс слева получен на линейной системе и выглядит так, если бы был получен с использованием КИХ фильтра Sin(x)/x. Тем не менее, это не так, и данный факт поможет опровергнуть следующий миф: КИХ фильтры имеют линейную фазу, а БИХ фильтры — нет.
На самом деле: Легко рассчитать КИХ фильтр с линейной фазой. Очень сложно рассчитать БИХ фильтр с линейной фазой.
И как следствие: очень сложно рассчитать КИХ фильтр с минимальной фазой. Но легко рассчитать БИХ фильтр с минимальной фазой.
Действительно, большинство КИХ фильтров разрабатываются изначально как КИХ фильтры с линейной фазой, так как разработчик может выбрать тот вид фазы, который он хочет. Как правило, выбирают линейную фазу.
Примерно по этим же причинам выбираются более очевидные симметричные КИХ фильтры (то есть симметричные относительно центрального пика импульсной характеристики): симметрия приводит к линейной фазе. БИХ фильтры обычно разрабатывают, используя технику проектирования аналоговых фильтров, а большинство аналоговых фильтров является широкополосными и с минимальной фазой (или точно не с линейной фазой), пока не предприняты специальные корректирующие меры.
Широкополосные фильтры
Импульс на рис. 3 на самом деле также получен с помощью фильтра Баттерворта пятого порядка с дополнительной фазовой компенсацией, разработанной для линеаризации фазы.
На рис. 4 изображено положение полюсов и нулей системы для генерации переходной характеристики рис. 3. Полученная система является БИХ фильтром с практически линейной фазой. При этом важно отметить, что обе системы имеют совершенно одинаковую АЧХ. Другими словами, добавление красных полюсов и нулей на рис. 4 не влияет на АЧХ системы.
![]() | ![]() | ||||||||||||||||
|
| ||||||||||||||||
| Рисунок 4. Расположение нулей и полюсов для переходной характеристики, изображенной на рис. 3, в цифровой (плоскость Z-преобразования — прим. переводчика) и аналоговой плоскости (S-плоскость преобразования Лапласа — прим. переводчика) | |||||||||||||||||
Для пояснения принципа построения такой системы рассмотрим рис. 5.
![]() |
Рисунок 5. Характеристики нулей и полюсов в левой и правой |
На нем изображены эффекты индивидуальных полюсов и нулей в S-плоскости. Как следует из аппроксимации Боде, полюс приводит к ослаблени-ию амплитуды на 3 дБ и запаздыванию фазы на 45° на частоте полюса. Это приводит к несущественным искажениям по амплитуде и фазовой задержке задолго до частоты полюса и к ослаблению 20 дБ за декаду и задержке 90°. Полюсы могут располагаться только в левой плоскости, иначе система будет нестабильной. Нули в левой плоскости имеют в точности обратный эффект относительно полюсов и будут отменять действие полюса, если размещаются прямо над ним. Правая плоскость нулей, в отличие от полюсов, является абсолютно легальной и имеет такой же амплитудный отклик, как и левая их плоскость, но обратный фазовый эффект. Нули в правой плоскости имеют обратный эффект по амплитуде относительно полюсов, но такой же эффект по фазе.
Упомянутый эффект часто используется для фазовой компенсации при разработке широкополосных фильтров. Эти фильтры используют комбинацию нулей в правой плоскости и полюсов в левой, расположенных для компенсации амплитудных откликов друг друга. При этом фазовый эффект удваивается. То есть сопряжение полюсов в левой плоскости и нулей в правой обеспечивает отсутствие амплитудных окликов, но дает запаздывание по фазе 90 градусов на частоте полюса/нуля и запаздывание 180 градусов далеко за этой частотой. Можно видеть на рис. 4, что полюса и нули, используемые для фазовой компенсации, организованы как набор широкополосных фильтров. В таблицах 1 и 2 приведены некоторые характеристики цифровых широкополосных фильтров.
Таблица 1. Параметры широкополосного фильтра первого порядка | |
| Передаточная функция | |
| Групповая задержка | ![]() |
| Частота соответствующая максимуму ГВЗ | |
| Максимальная ГВЗ (и максимальная групповая задержка) | ![]() |
Таблица 2. Параметры широкополосного фильтра первого порядка | |
| Передаточная функция | |
| Групповая задержка | ![]() |
| Частота соответствующая максимуму ГВЗ | ![]() |
| Максимальная ГВЗ (и максимальная групповая задержка) | ![]() |
| Максимальная ГВЗ | |
Коррекция ГВЗ осуществляется путем каскадного включения множества широкополосных фильтров. На рис. 6 красной линией показана характеристика ГВЗ фильтра Бат-терворта пятого порядка, а синие линии — эффекты ГВЗ набора широкополосных фильтров. Розовая линия — это комбинированная ГВЗ каскада фильтров, а желтая — конечная ГВЗ системы.
| ||||||||
Рисунок 6. Линеаризация групповой задержки |
Таким образом, рис. 6 наглядно представлена стратегия по линеаризации фазы.
Видно, что широкополосный фильтр Бат-терворта вносит не просто задержку, а нелинейную задержку. И существует только один способ коррекции нелинейного эффекта задержки — применение системы, которая задерживает одни частотные компоненты меньше, чем другие, но при этом вносит в общую систему добавочную задержку.
Минимальная фаза
Будем учитывать тот факт, что широкополосные фильтры не вносят амплитудных искажений. На рис. 4 можно видеть, что бесконечное число комбинаций широкополосных фильтров, добавляемых к фильтру Баттер-ворта 5-го порядка, будут иметь одну и ту же амплитудную характеристику, но различные значения ГВЗ. При этом весь набор в целом приведет к большей задержке сигнала, чем одиночный фильтр Баттерворта. Плюс к этому, есть только один путь добавления нулей и полюсов к фильтру Баттерворта, при котором не вносятся изменения в амплитуду. Это добавление широкополосных секций, которые всегда имеют нули в правой полуплоскости (или нули вне единичной окружности в цифровой области). Отсюда следует определение минимальной фазовой системы [6]: в теории управления и цифровой обработки сигналов линейная, постоянная во времени система является минимально фазовой, если система и ее отображение существуют и стабильны.
Из этого определения видно, что все нули минимальной фазовой системы должны быть в левой полуплоскости (внутри единичной окружности), иначе невозможно инвертировать систему, так как в инверсной системе нули обращаются в полюса. Таким образом, легко создавать минимальные фазовые системы, заранее планируя расположение нулей и полюсов системы. На рис. 5 показано, что амплитудный эффект нулей не зависит от того, лежат ли они в правой или левой полуплоскости. Так что создание минимальной фазовой системы достигается простым передвижением любых нулей правой полуплоскости в левую. В S-плоско-сти это означает изменение знака реальной части нуля. В цифровой области это означает взятие комплексно сопряженного с данным положения нуля. На рис. 3 видно, что, если провести такое передвижение, то все нули правой полуплоскости будут размещаться над добавленными полюсами для фазовой компенсации, и минимальная фазовая система будет просто исходным фильтром Баттерворта 5-го порядка.
Такая процедура также хорошо применима для всех бесполюсных фильтров. Если известна импульсная характеристика системы (3), то известны и коэффициенты КИХ-фильтра, определяющего данную систему:
![]()
или
. (3)
Если использовать первые 50 точек импульсной характеристики линейной фазовой системы, изображенной на рис. 3, и рассматривать их как полином в виде уравнения (3), то можно найти корни этого полинома, которые будут являться нулями бесполюсного КИХ-фильтра, обеспечивающего данный отклик системы. Расположение нулей показано на рис. 7. Здесь же отображено положение нулей минимальной фазовой системы, полученное простым перемещением нулей, расположенных вне единичной окружности, вовнутрь. Напомним, что это не приводит к изменению АЧХ системы.
![]() | ||||||
| ||||||
| Рисунок 7. Расположение нулей минимально фазовой и не минимально фазовой бесполюсных систем |
Затем возьмем найденные нули минимальной фазовой системы и подставим их обратно в (3). Из этого уравнения получается импульсная характеристика минимальной фазовой системы. На рис. 8 показана рассчитанная из импульсной характеристики переходная характеристика для системы с линейной фазой и фильтра Баттерворта. Видно, что отклики минимальной фазовой системы и фильтра Баттерворта идентичны. Отклики отображены в реальном временном масштабе относительно начального воздействия в нулевой момент времени.
| ||||||
Рисунок 8. Сравнение переходных характеристик |
На рис. 8 показано несколько моментов. Во-первых, он отображает реальные соотношения между фронтом переходной характеристики и временем начального воздействия. В линейной фазовой системе отклик появляется намного позже начального воздействия. Причиной чего является задержка низкочастотных компонентов в дополнительной фа-золинеаризующей системе, чтобы согласовать их со временем прохождения ВЧ-компонентов. Реакция минимальной фазовой системы следует немедленно после начального воздействия.
На рис. 3 легко определить временное положение начального воздействия для фильтра Баттерворта. Намного труднее это сделать в линейной фазовой системе — начальное воздействие происходит намного раньше. Этот факт показывает несколько необычный или преждевременный эффект в работе линейной фазовой системы. В осциллографе при использовании компенсации ГВЗ задержка, возникающая из-за цифровой фильтрации, влияет на положение точки запуска.
Во-вторых, рис. 8 демонстрирует, что минимальная фазовая система имеет отклик, следующий сразу же за начальным воздействием. То есть данная система имеет минимальную задержку во времени реакции для формирования амплитудного отклика на входное воздействие. Поэтому минимальная фазовая система также является системой с минимальной задержкой.
Исходя из полностью преждевременного режима линейной фазовой системы, делаем вывод, почему такая характеристика из-за ее большой вносимой задержки не является лучшим выбором. В линейной фазовой системе все частотные компоненты прибывают на выход одновременно, но с дополнительной задержкой. Одновременный приход компонентов желателен с точки зрения получаемых искажений сигнала и поэтому широко используется для аудиосистем, где дополнительная задержка не так важна. В системах телекоммуникации и связи дополнительная задержка может быть как важным параметром, так и нет. Однако в системах контроля дополнительная задержка имеет огромное значение, и поэтому минимальные фазовые системы более желательны с точки зрения контроля.
Создание минимальных фазовых систем
В предыдущем разделе была ссылка, что создание минимальной фазовой системы легко осуществляется по положению нулей и полюсов системы — простым переносом нулей в левую полуплоскость (или внутрь единичной окружности). Основной проблемой является то, что положение нулей и полюсов обычно неизвестно. Все классические БИХ-фильтры (Баттерворта, Чебышева и т. д.) являются минимально фазовыми, потому что они являются идеальными фильтрами (это фильтры с одними полюсами), поэтому разработать минимально фазовый БИХ-фильтр легко. При разработке КИХ-фильтров проблемой является то, что они рассчитываются прямым определением импульсной характеристики — аналогично примеру с уравнением (3). Таким образом, путем для создания минимально фазовой системы является расчет КИХ-фильтра, нахождение корней полинома, описывающего его импульсную характеристику, перенос лежащих вне единичной окружности нулей вовнутрь и перестроении полинома. Нахождение корней является главной проблемой. Существует много методов этого действия [7], но они хорошо работают для полиномов не очень большого порядка. Мой опыт расчетов в MathCAD начинал давать сбои при порядке полинома около 30. Программа, созданная автором статьи, основана на числовых методах, но дает сбои при порядке полинома около 50. Можно сказать, что нахождение корней КИХ-фильтра 200-го порядка — не очень простая для реализации вещь.
Для поиска путей решения этой проблемы автор просмотрел много статей, посвященных непосредственному нахождению корней, и нашел отличный вариант. Данное решение представляет собой алгоритм, преобразующий любой КИХ-фильтр в КИХ-фильтр с минимальной фазой очень простым образом. Алгоритм приведен в уравнении (4), а подробности его работы описаны в [8]. Главным является то, что он воспроизводит точно такую же импульсную характеристику, что соответствует минимальной фазовой системе на рис. 8, но без усилий по нахождению корней.
. (4)
Минимальная и линейная фазовые системы в осциллографе
Компания LeCroy всегда старалась построить системы с минимальным фазовым откликом, потому что считает его более естественным и не нарушающим причинно-следственную связь. Другие крупные изготовители осциллографов стараются обеспечить линейную фазу в системе, наверное потому, что считают наилучшим этот вид отклика.
Мнение автора, что отклик минимальной фазовой системы является лучшим вариантом для систем с ограниченной полосой пропускания. Однако есть один хороший аргумент для использования систем с линейной фазой при исследовании потоков последовательных данных и построении глазковых диаграмм. На рис. 9 показаны отклики осциллографа LeCroy SDA 11000 на импульс с фронтом 30 пс и на поток Гбит/с. Можно заметить, что переходная характеристика с нарушенной причинно-следственной связью переходит в симметричную «глазковую» диаграмму. Более естественная переходная характеристика минимальной фазовой системы переходит в немного несимметричную «глазковую» диаграмму. При этом маски, используемые для тестирования «глазковых» диаграмм, не разрабатывались в расчете на любую несимметрию — типичная ситуация для стандартов на соответствие. По этой причине теперь пользователи осциллографов LeCroy могут выбирать между линейной и минимальной фазовой системами.
![]() | ![]() |
![]() | ![]() |
| а) Линейная фаза | б) Минимальная фаза |
| Рисунок 9. Сравнение сигнала потока 5 Гб/с, отображаемого на LeCroy SDA 11000 c линейным фазовым фильтром и минимальным фазовым фильтром | |
В итоге линейные фазовые системы могут быть лучшим решением для построения «глазковых» диаграмм. Однако свое распространение они получили по другой причине. Хотя при проведении многих измерений оговариваются амплитудные характеристики осциллографа: полоса пропускания, неравномерность АЧХ и т. д., фазовые характеристики обычно не рассматриваются. Это связано с тем, что очень тяжело определить влияние параметров фазы или ГВЗ в частотной области, если система имеет фазу, отличную от линейной. Другими словами, легко предсказать отклик во временной области для линейной фазовой системы и очень трудно сказать что-нибудь об отклике во временной области системы с нелинейной фазой (не имея в виду простое визуальное наблюдение импульсной или переходной характеристики).
Эффект ГВЗ
Эффект ГВЗ может быть просто пояснен с использованием концепции проблемы рассеивания. Проблема рассеивания определяется как отношение амплитуд сигналов самой высокой и самой низкой частоты в линии передачи [9]. Данное определение рассматривает только амплитудный отклик основной компоненты самой короткой и самой длинной периодически повторяющейся последовательности в потоке последовательных данных.
Для визуализации эффекта ГВЗ разработана простейшая модель на рис. 10. Созданы 16 комбинаций — все возможные для последовательности из 4 бит. Наблюдение результирующей «глазковой» диаграммы осуществляется в точке расположения второго бита. Все комбинации сгруппированы по трем категориям. Первая категория содержит последовательность 101010…, которая из-за ограниченной полосы пропускания модели системы обеспечивает только основную компоненту на максимально возможной частоте. Вторая категория содержит последовательность 11001100…, которая обладает только нечетными гармониками. В данной модели третья гармоника будет вырезана из-за ограниченной полосы пропускания и останется только основная компонента. Третья категория содержит изолированные последовательности битов: возможны все оставшиеся комбинации. Эти последовательности содержат как четные, так и нечетные гармоники. Из-за ограничения полосы пропускания останется только вторая гармоника. Данная вторая гармоника будет появляться в том же месте, где и основная гармоника для последовательности 101010…
![]() |
Рисунок 10. Упрощенная модель для наблюдения эффекта ГВЗ |
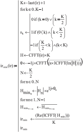
Рис. 11 отображает MathCAD-процедуру, используемую для генерации битовых последовательностей, измерения частотного содержания, ограничения полосы пропускания и позволяющую грубо моделировать эффект ГВЗ путем вариации фазы высокочастотных компонентов.
![]() |
Рисунок 11. Процедура MathCAD для моделирования эффекта ГВЗ |
Процедура MathCAD, изображенная на рис. 11, используется для создания анимации эффекта ГВЗ путем изменения фазы самого высокочастотного компонента от -90° до 90°. Изменение фазы только одной частотной компоненты имитирует эффект нелинейной фазовой системы. Положительная фаза означает опережение данной высокочастотной компоненты относительно других (отрицательная ГВЗ). На рис. 12 показано влияние фазового сдвига на «глазковую» диаграмму.
Фазовый сдвиг 90°![]() | Фазовый сдвиг 45 °![]() | ||||||
Фазовый сдвиг 0°![]() | Фазовый сдвиг -45 °![]() | ||||||
Фазовый сдвиг -90°![]() |
| ||||||
| Рисунок 12. Влияние фазового сдвига на «глазковую» диаграмму | |||||||
Во-первых, красная линия — последовательность 11001100… — не передвигается. Это связано с тем, что она содержит только одну частотную компоненту, параметры которой не изменяются. Во-вторых, основным эффектом является передвижение желтой синусоиды по «глазковой» диаграмме. Это зависит от того, что соответствующая последовательность содержит также только одну частотную компоненту, фазу которой мы изменяем. В-третьих, наблюдается эффект сжатия сторон «глазковой» диаграммы из-за синей линии. Это происходит при изменении задержки второй гармоники относительно основной. Можно заметить, что данный эффект не влияет на закрытие «глазковой» диаграммы. Также видно, что при условиях фазовых искажений повышение в амплитуде любой из частотных компонент не приводит к открытию «глазковой» диаграммы.
Заключение
Надеемся, что данная статья осветила некоторые вопросы, касающиеся фазовых характеристик осциллографа и их влияния на переходную характеристику, которые необходимо учитывать при измерениях и интерпретации их результатов. Поскольку фазовые характеристики так же важны (в том числе при исследованиях потоков последовательных данных), как и амплитудные, и, вероятно, тоже нуждаются в компенсации.
Литература
- Pupalaikis P. J., LaMarche F. Digital Group Delay Compensator, US Patent Appliation 10/678,374, (10/7/2002)
- Pupalaikis P. J., Yudin E. Eye Patterns in Scopes, DesignCon. 2005.
- Higgens R. J. Digital Signal Processing in VLSI. Prentice Hall, Englewood Cliffs, NJ. 1990.
- Parks T. W., Burrus C. S. Digital Filter Design. (John Wiley & Sons, 1987), 162-171
- Smith, J.O. Introduction to Digital Filters, May 2004 Draft, http://ccrma.stanford.edu/~jos/filters/ class=l>http://ccrma.stanford.edu/~jos/filters/.
- Wikipedia, http://en.wikipedia.org/wiki/Minimum_phase class=l>http://en.wikipedia.org/wiki/Minimum_phase http://en.wikipedia.org/wiki/Minimum_phase class=l>
- William H. Press, Saul A. Teukolsky, William T. Vetterling, Brian P. Flannery, Numerical Recipes in C, Second, Edition, (Cambridge University Press, 1992), Section 9
- Niranjan Damera-Venkata, Brian L. Evans and Shawn R. McCaslin, Design of Optimal Minimum Phase FIR Filters Using Discrete Hilbert Transforms, IEEE Transactions on Signal Processing, Volume 48, Issue 5, May 2000, 1491-1495,
- Howard Johnson and Martin Graham, High-Speed Signal Propagation, (Prentice Hall, 2003), 233
Автор: Питер Дж. Пупалайкис (Peter J. Pupalaikis) ; перевод с англ. коллектив АО «ПриСТ»
Дата публикации: 24.01.2007
У нас представлены товары лучших производителей
АО «ПриСТ» предлагает оптимальные решения измерительных задач.
У нас вы можете купить осциллограф, источник питания, генератор сигналов, анализатор спектра, калибратор, мультиметр, токовые клещи, поверить средства измерений или откалибровать их. Также мы поставляем паяльно-ремонтное оборудование, антистатический инструмент, промышленную мебель. Мы имеем прямые контракты с крупнейшими мировыми производителями измерительного оборудования, благодаря этому можем подобрать то оборудование, которое решит Ваши задачи. Имея большой опыт, мы можем рекомендовать продукцию следующих торговых марок:
Внимание! Отсутствие ошибок и опечаток не гарантируется. В технические характеристики средств измерений неутвержденного типа производителем могут быть внесены изменения без предварительного уведомления. Соответствие важных параметров требует уточнения. Полные технические характеристики предоставляются по отдельному запросу. Нашли ошибку? Выделите мышкой и нажмите Ctrl+Enter.




























